Официальное опубликование правовых актов
ОФИЦИАЛЬНОЕ ОПУБЛИКОВАНИЕ
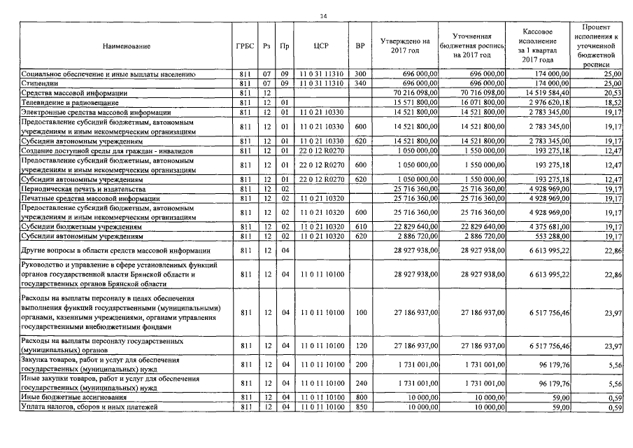
Постановление Правительства Брянской области от 24.04.2017 № 197-п
"Об утверждении отчета об исполнении областного бюджета за I квартал 2017 года"
Номер опубликования: 3200201705020010
Дата опубликования: 02.05.2017
Страница №50 из 239:
Увеличить