Официальное опубликование правовых актов
ОФИЦИАЛЬНОЕ ОПУБЛИКОВАНИЕ
Постановление Правительства Брянской области от 17.04.2017 № 172-п
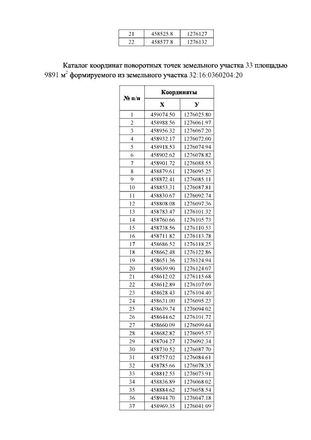
"Об утверждении проекта планировки и проекта межевания территории по объекту "Реконструкция автомобильной дороги "Унеча - Мглин" - Бурчак (с устройством подъезда к н.п. Разрытое) в Мглинском районе Брянской области"
Номер опубликования: 3200201704260001
Дата опубликования: 26.04.2017
Страница №119 из 142:
Увеличить