Официальное опубликование правовых актов
ОФИЦИАЛЬНОЕ ОПУБЛИКОВАНИЕ
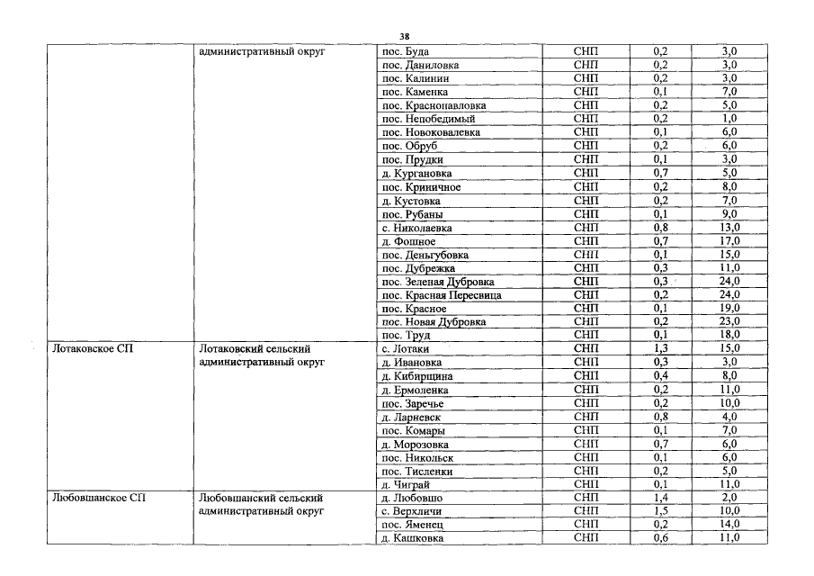
Постановление Правительства Брянской области от 13.02.2017 № 42-п
"Об утверждении реестра административно-территориальных единиц, административных округов, населенных пунктов Брянской области"
Номер опубликования: 3200201702150007
Дата опубликования: 15.02.2017
Страница №39 из 164:
Увеличить