Официальное опубликование правовых актов
ОФИЦИАЛЬНОЕ ОПУБЛИКОВАНИЕ
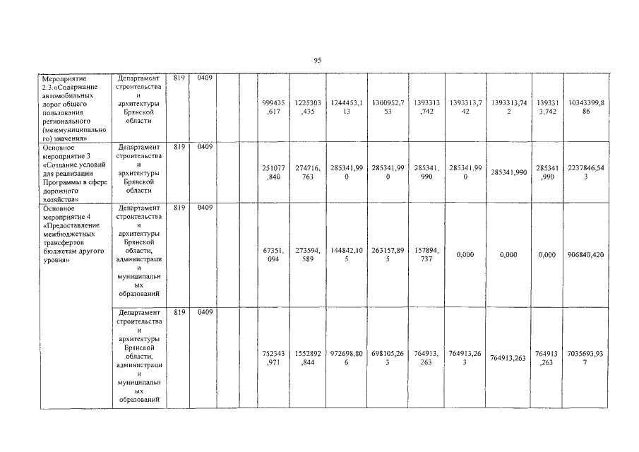
Постановление Правительства Брянской области от 30.12.2016 № 749-п
"О внесении изменений в государственную программу "Обеспечение реализации государственных полномочий в области строительства, архитектуры и развитие дорожного хозяйства Брянской области" (2014 - 2020 годы)"
Номер опубликования: 3200201701030023
Дата опубликования: 03.01.2017
Страница №97 из 244:
Увеличить