Официальное опубликование правовых актов
ОФИЦИАЛЬНОЕ ОПУБЛИКОВАНИЕ
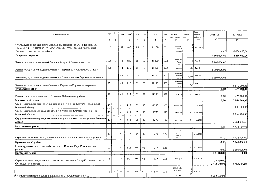
Постановление Правительства Брянской области от 30.12.2016 № 750-п
"Об утверждении перечней объектов бюджетных инвестиций государственной собственности региональной адресной инвестиционной программы на 2017 год и на плановый период 2018-2019 годов и перечней объектов капитальных вложений муниципальной собственности региональной адресной инвестиционной программы на 2017 год и на плановый период 2018-2019 годов"
Номер опубликования: 3200201701030013
Дата опубликования: 03.01.2017
Страница №39 из 48:
Увеличить