Официальное опубликование правовых актов
ОФИЦИАЛЬНОЕ ОПУБЛИКОВАНИЕ
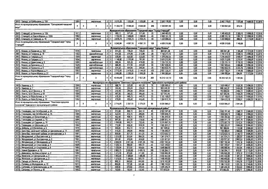
Постановление Правительства Брянской области от 26.12.2016 № 704-п
"О внесении изменений в краткосрочный (2015 год) план реализации региональной программы "Проведение капитального ремонта общего имущества многоквартирных домов на территории Брянской области" (2014 - 2043 годы)"
Номер опубликования: 3200201612300008
Дата опубликования: 30.12.2016
Страница №9 из 31:
Увеличить