Официальное опубликование правовых актов
ОФИЦИАЛЬНОЕ ОПУБЛИКОВАНИЕ
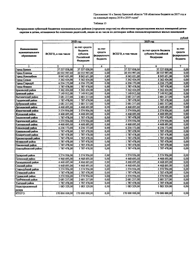
Закон Брянской области от 21.12.2016 № 111-З
"Об областном бюджете на 2017 год и на плановый период 2018 и 2019 годов"
Номер опубликования: 3200201612210021
Дата опубликования: 21.12.2016
Страница №411 из 430:
Увеличить