Официальное опубликование правовых актов
ОФИЦИАЛЬНОЕ ОПУБЛИКОВАНИЕ
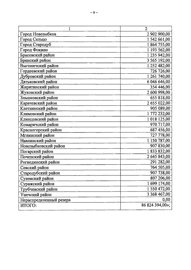
Закон Брянской области от 14.12.2016 № 110-З
"О внесении изменений в Закон Брянской области "Об областном бюджете на 2016 год"
Номер опубликования: 3200201612150001
Дата опубликования: 15.12.2016
Страница №8 из 134:
Увеличить