Официальное опубликование правовых актов
ОФИЦИАЛЬНОЕ ОПУБЛИКОВАНИЕ
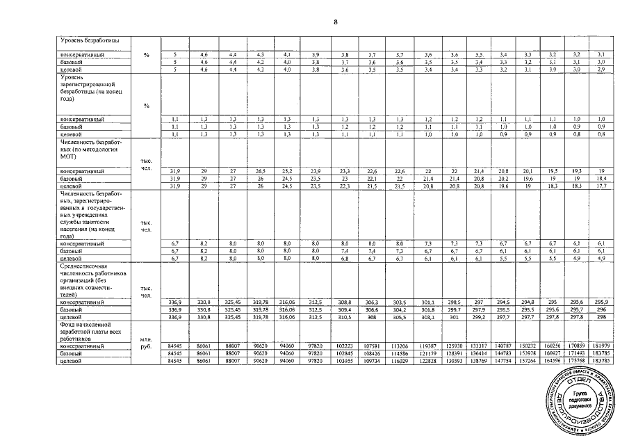
Распоряжение Правительства Брянской области от 21.11.2016 № 315-рп
"Об утверждении прогноза социально-экономического развития Брянской области на период до 2030 года"
Номер опубликования: 3200201611240002
Дата опубликования: 24.11.2016
Страница №9 из 9:
Увеличить