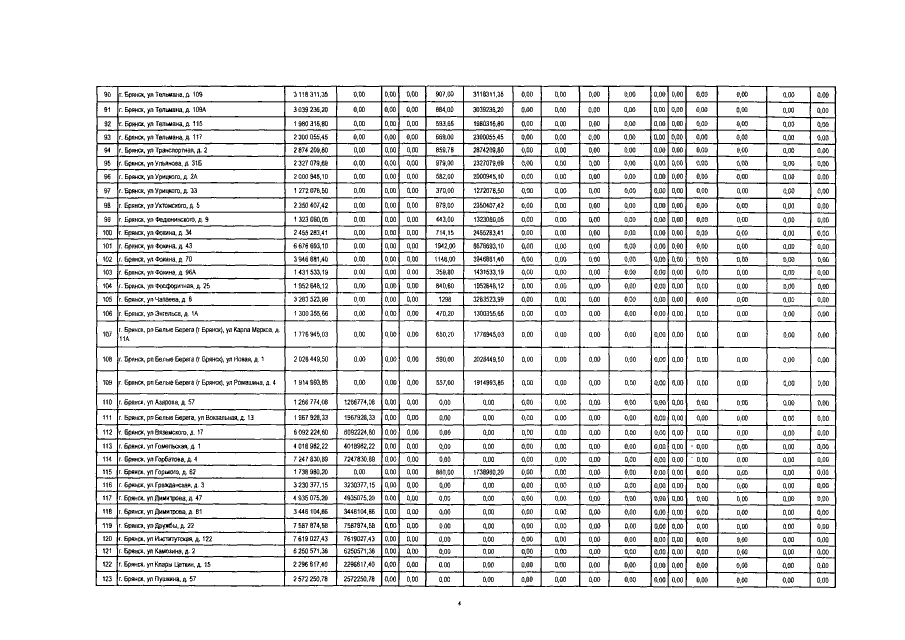
Постановление Правительства Брянской области от 29.08.2016 № 477-п
"О внесении изменений в краткосрочный (2016 год) план реализации региональной программы "Проведение капитального ремонта общего имущества многоквартирных домов на территории Брянской области" (2014 - 2043 годы)"
"О внесении изменений в краткосрочный (2016 год) план реализации региональной программы "Проведение капитального ремонта общего имущества многоквартирных домов на территории Брянской области" (2014 - 2043 годы)"
Номер опубликования: 3200201608310009
Дата опубликования:
31.08.2016
