Официальное опубликование правовых актов
ОФИЦИАЛЬНОЕ ОПУБЛИКОВАНИЕ
Закон Брянской области от 05.07.2016 № 60-З
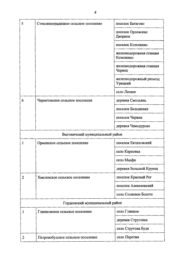
"Об утверждении перечня поселений Брянской области с численностью населения менее трех тысяч человек, в которых отсутствует точка доступа к информационно-телекоммуникационной сети "Интернет"
Номер опубликования: 3200201607080006
Дата опубликования: 08.07.2016
Страница №6 из 35:
Увеличить