Официальное опубликование правовых актов
ОФИЦИАЛЬНОЕ ОПУБЛИКОВАНИЕ
Постановление Правительства Брянской области от 06.05.2016 № 236-п
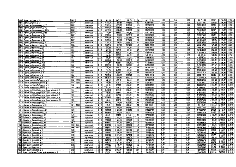
"О внесении изменений в постановление Правительства Брянской области от 5 июня 2015 года № 260-п "Об утверждении краткосрочного (2015 год) плана реализации региональной программы "Проведение капитального ремонта общего имущества многоквартирных домов на территории Брянской области" (2014 - 2043 годы)"
Номер опубликования: 3200201605060003
Дата опубликования: 06.05.2016
Страница №6 из 31:
Увеличить