Официальное опубликование правовых актов
ОФИЦИАЛЬНОЕ ОПУБЛИКОВАНИЕ
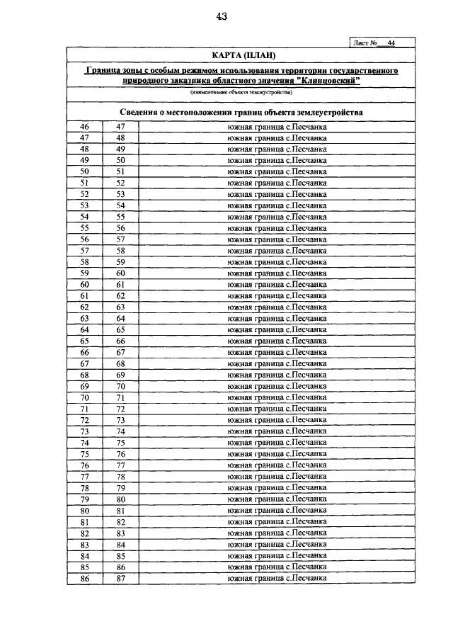
Постановление Правительства Брянской области от 11.04.2016 № 197-п
"Об утверждении паспорта и Положения о государственном природном заказнике областного значения "Клинцовский"
Номер опубликования: 3200201604120006
Дата опубликования: 12.04.2016
Страница №57 из 92:
Увеличить