Официальное опубликование правовых актов
ОФИЦИАЛЬНОЕ ОПУБЛИКОВАНИЕ
Постановление Правительства Брянской области от 09.02.2016 № 78-п
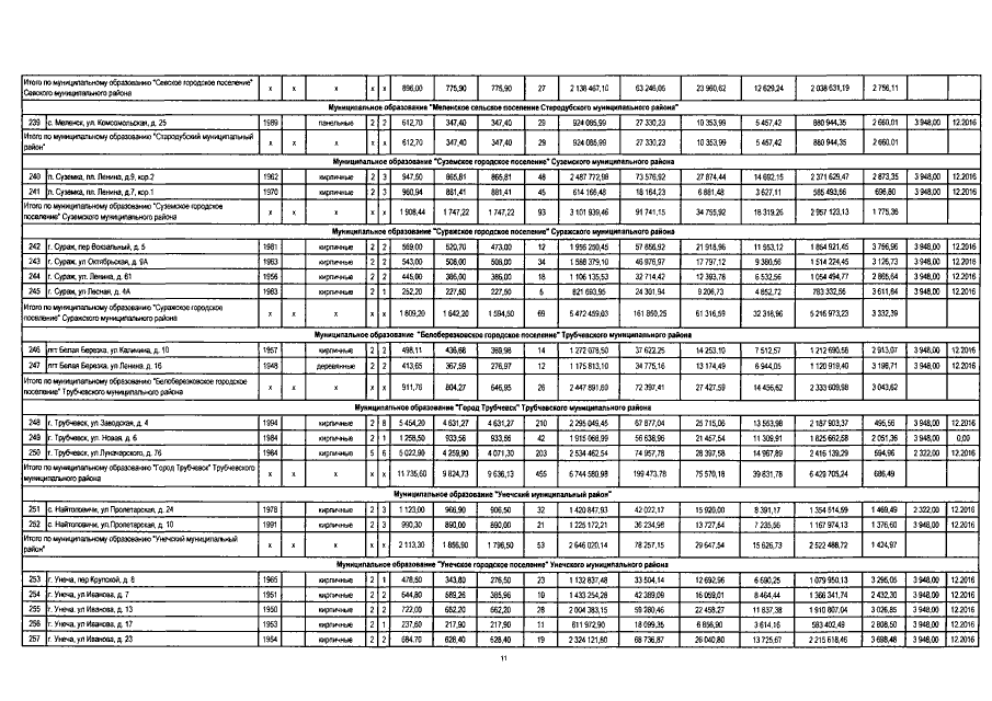
"Об утверждении краткосрочного (2016 год) плана реализации региональной программы "Проведение капитального ремонта общего имущества многоквартирных домов на территории Брянской области" (2014 - 2043 годы)"
Номер опубликования: 3200201602120001
Дата опубликования: 12.02.2016
Страница №15 из 33:
Увеличить