Официальное опубликование правовых актов
ОФИЦИАЛЬНОЕ ОПУБЛИКОВАНИЕ
Постановление Правительства Брянской области от 25.12.2015 № 714-п
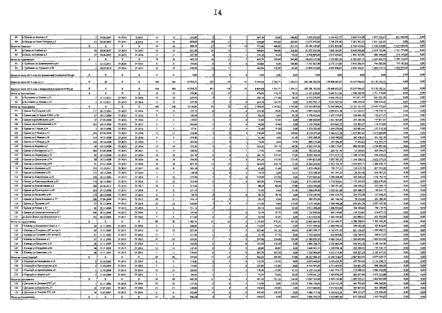
"О внесении изменений в постановление Правительства Брянской области от 6 мая 2013 года № 97-п "Об утверждении региональной адресной программы "Переселение граждан из аварийного жилищного фонда на территории Брянской области" (2013 - 2017 годы)"
Номер опубликования: 3200201512300034
Дата опубликования: 30.12.2015
Страница №15 из 27:
Увеличить