Официальное опубликование правовых актов
ОФИЦИАЛЬНОЕ ОПУБЛИКОВАНИЕ
Постановление Правительства Брянской области от 25.12.2015 № 715-п
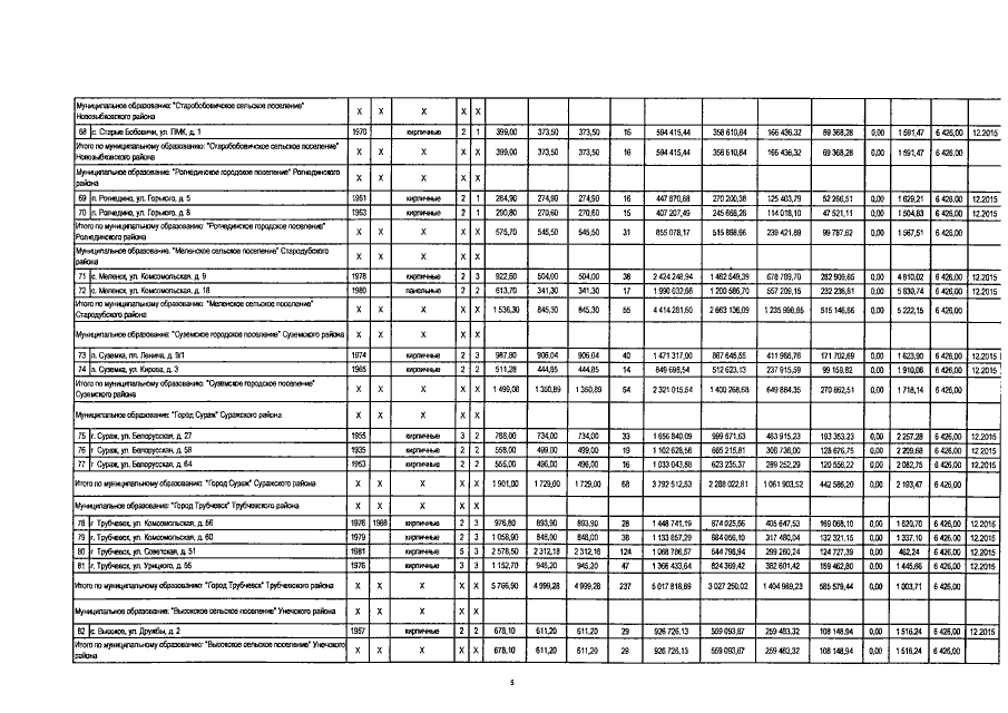
"О внесении изменений в постановление Правительства Брянской области от 20 октября 2014 года № 469-п "Об утверждении краткосрочного (2014-2015 годы) плана реализации региональной программы "Проведение капитального ремонта общего имущества многоквартирных домов на территории Брянской области" (2014 - 2043 годы)"
Номер опубликования: 3200201512280010
Дата опубликования: 28.12.2015
Страница №7 из 14:
Увеличить