Официальное опубликование правовых актов
ОФИЦИАЛЬНОЕ ОПУБЛИКОВАНИЕ
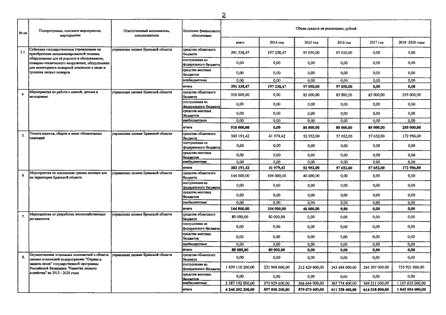
Постановление Правительства Брянской области от 18.12.2015 № 658-п
"О внесении изменений в постановление Правительства Брянской области от 30 декабря 2013 года № 832-п "Об утверждении государственной программы "Развитие лесного хозяйства Брянской области" (2014 - 2020 годы)"
Номер опубликования: 3200201512250002
Дата опубликования: 25.12.2015
Страница №3 из 4:
Увеличить