Официальное опубликование правовых актов
ОФИЦИАЛЬНОЕ ОПУБЛИКОВАНИЕ
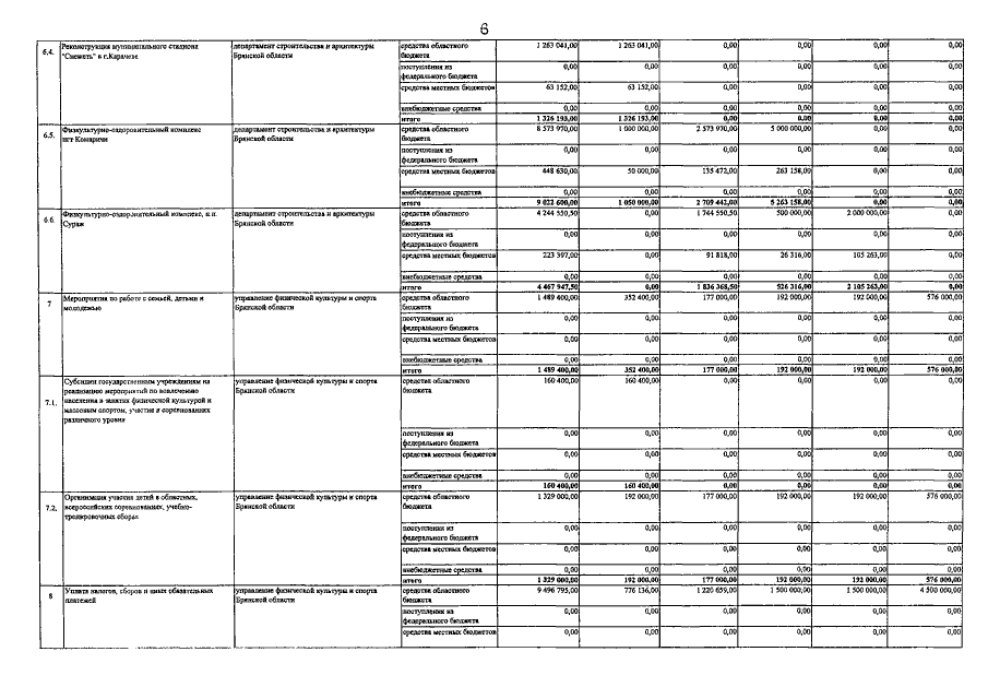
Постановление Правительства Брянской области от 08.12.2015 № 583-п
"О внесении изменений в постановление Правительства Брянской области от 30 декабря 2013 года № 835-п "Об утверждении государственной программы "Развитие физической культуры и спорта Брянской области" (2014 - 2020 годы)"
Номер опубликования: 3200201512100003
Дата опубликования: 10.12.2015
Страница №7 из 25:
Увеличить