Официальное опубликование правовых актов
ОФИЦИАЛЬНОЕ ОПУБЛИКОВАНИЕ
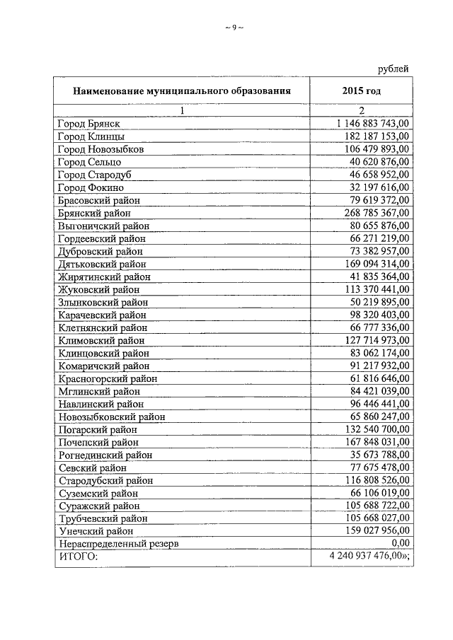
Закон Брянской области от 07.12.2015 № 134-З
"О внесении изменений в Закон Брянской области "Об областном бюджете на 2015 год и на плановый период 2016 и 2017 годов"
Номер опубликования: 3200201512080001
Дата опубликования: 08.12.2015
Страница №9 из 145:
Увеличить