Официальное опубликование правовых актов
ОФИЦИАЛЬНОЕ ОПУБЛИКОВАНИЕ
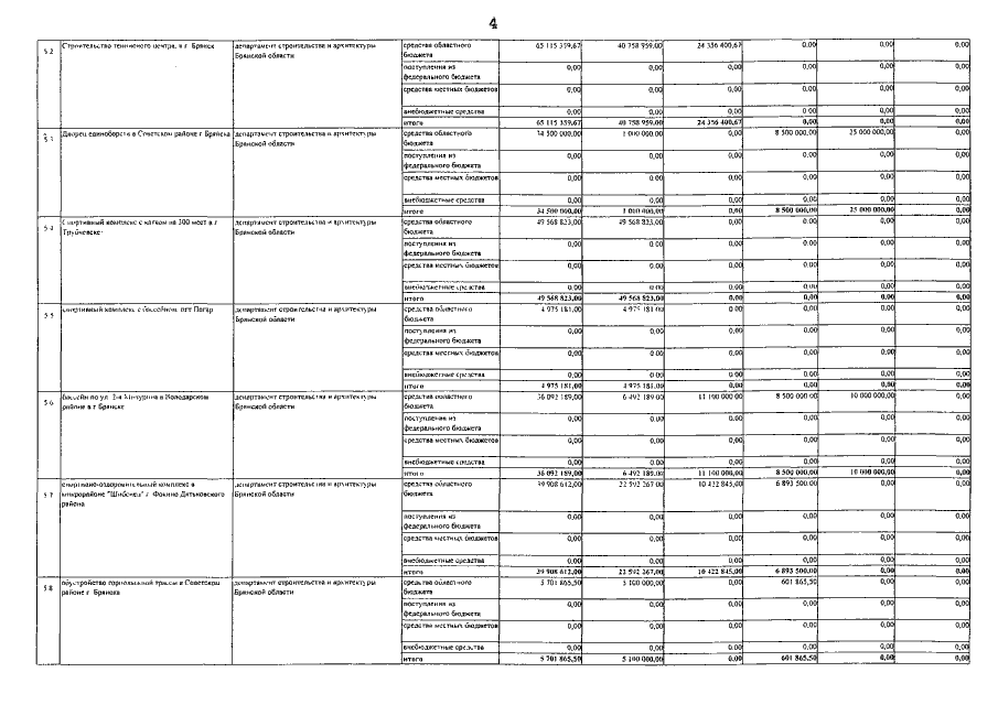
Постановление Правительства Брянской области от 07.08.2015 № 372-п
"О внесении изменений в постановление Правительства Брянской области от 30 декабря 2013 года № 835-п "Об утверждении государственной программы "Развитие физической культуры и спорта Брянской области" (2014 – 2020 годы)"
Номер опубликования: 3200201508100002
Дата опубликования: 10.08.2015
Страница №5 из 14:
Увеличить