Официальное опубликование правовых актов
ОФИЦИАЛЬНОЕ ОПУБЛИКОВАНИЕ
Постановление Правительства Брянской области от 29.07.2015 № 353-п
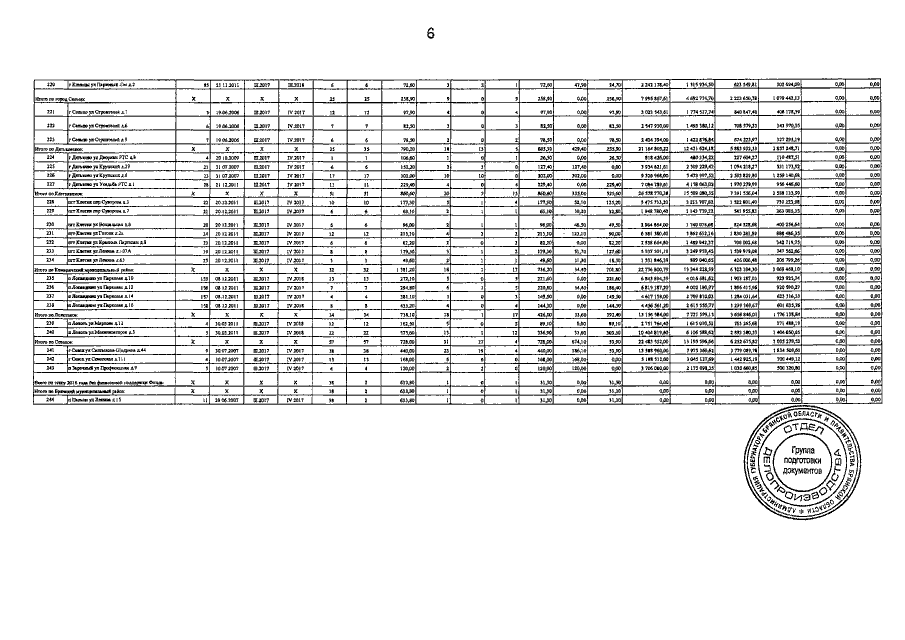
"О внесении изменений в региональную адресную программу "Переселение граждан из аварийного жилищного фонда на территории Брянской области" (2013 – 2017 годы)"
Номер опубликования: 3200201507290002
Дата опубликования: 29.07.2015
Страница №18 из 27:
Увеличить