Официальное опубликование правовых актов
ОФИЦИАЛЬНОЕ ОПУБЛИКОВАНИЕ
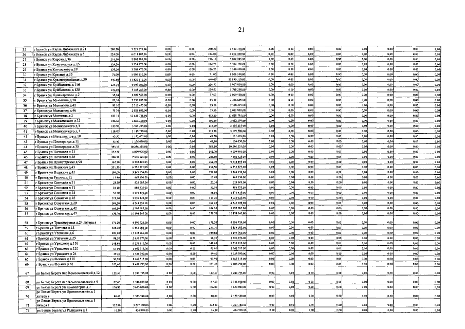
Постановление Правительства Брянской области от 13.03.2015 № 100-п
"О внесении изменений в региональную адресную программу "Переселение граждан из аварийного жилищного фонда на территории Брянской области" (2013 – 2017 годы)"
Номер опубликования: 3200201503200002
Дата опубликования: 20.03.2015
Страница №22 из 27:
Увеличить