Официальное опубликование правовых актов
ОФИЦИАЛЬНОЕ ОПУБЛИКОВАНИЕ
Указ Губернатора Брянской области от 14.01.2015 № 9
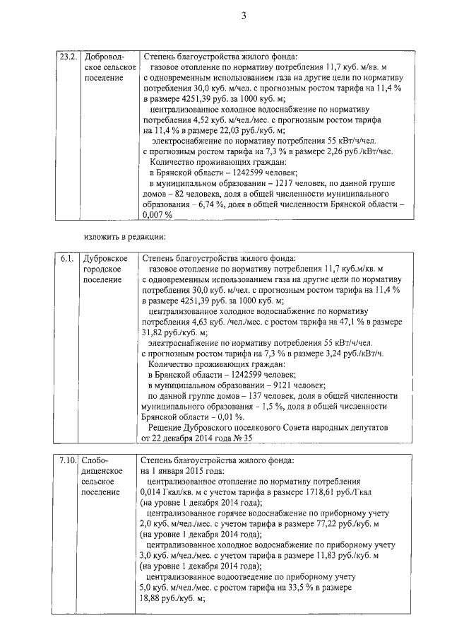
"О внесении изменений в указ Губернатора Брянской области от 26 ноября 2014 года № 369 "О предельных (максимальных) индексах изменения размера вносимой гражданами платы за коммунальные услуги в муниципальных образованиях Брянской области на 2015 – 2018 годы"
Номер опубликования: 3200201501160008
Дата опубликования: 16.01.2015
Страница №5 из 7:
Увеличить