Официальное опубликование правовых актов
ОФИЦИАЛЬНОЕ ОПУБЛИКОВАНИЕ
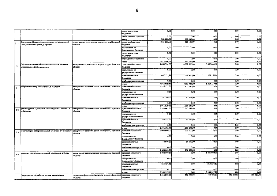
Постановление Правительства Брянской области от 29.12.2014 № 634-п
"О внесении изменений в постановление Правительства Брянской области от 30 декабря 2013 года № 835-п "Об утверждении государственной программы "Развитие физической культуры и спорта Брянской области" (2014 – 2020 годы)"
Номер опубликования: 3200201501040012
Дата опубликования: 04.01.2015
Страница №7 из 21:
Увеличить