Официальное опубликование правовых актов
ОФИЦИАЛЬНОЕ ОПУБЛИКОВАНИЕ
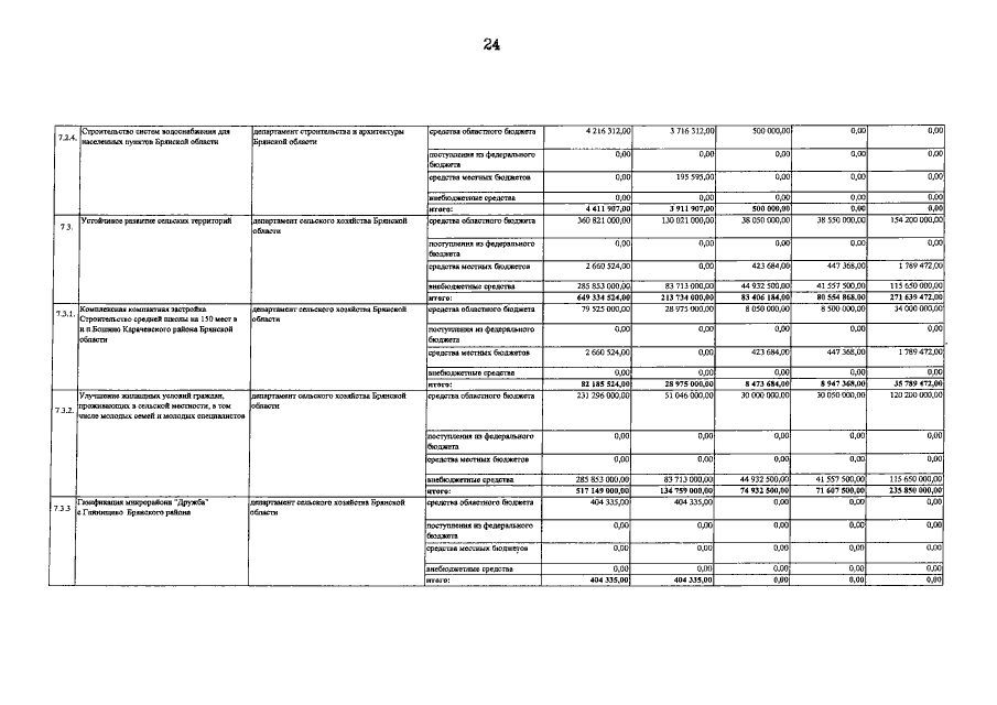
Постановление Правительства Брянской области от 29.12.2014 № 638-п
"О внесении изменений в постановление Правительства Брянской области от 30 декабря 2013 года № 855-п "Об утверждении государственной программы "Развитие сельского хозяйства и регулирование рынков сельскохозяйственной продукции, сырья и продовольствия Брянской области" (2014 – 2020 годы)"
Номер опубликования: 3200201501040007
Дата опубликования: 04.01.2015
Страница №26 из 29:
Увеличить