Официальное опубликование правовых актов
ОФИЦИАЛЬНОЕ ОПУБЛИКОВАНИЕ
Приказ Управления государственной охраны объектов культурного наследия
Белгородской области
от 26.07.2023 № 30-24/312
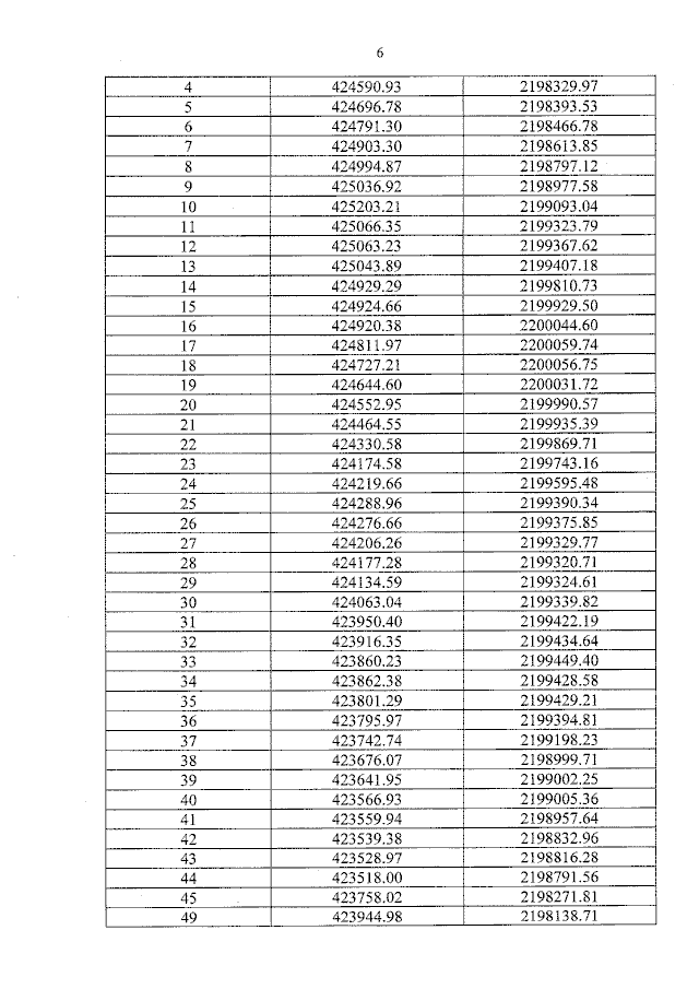
"О включении выявленного объекта культурного наследия "Историко-ландшафтный комплекс "Холковский монастырь" (Белгородская область, Чернянский район, с. Холки) в единый государственный реестр объектов культурного наследия (памятников истории и культуры) народов Российской Федерации в качестве объекта культурного наследия регионального значения – достопримечательного места "Холковский монастырь", XI–XII вв., 1620–1764 гг., 1999 год (Белгородская область, Чернянский район, с. Холки), об утверждении границ его территории и предмета охраны"
(Зарегистрирован 01.08.2023 № 686)
Номер опубликования: 3101202308030001
Дата опубликования: 03.08.2023
Страница №6 из 13:
Увеличить