Официальное опубликование правовых актов
ОФИЦИАЛЬНОЕ ОПУБЛИКОВАНИЕ
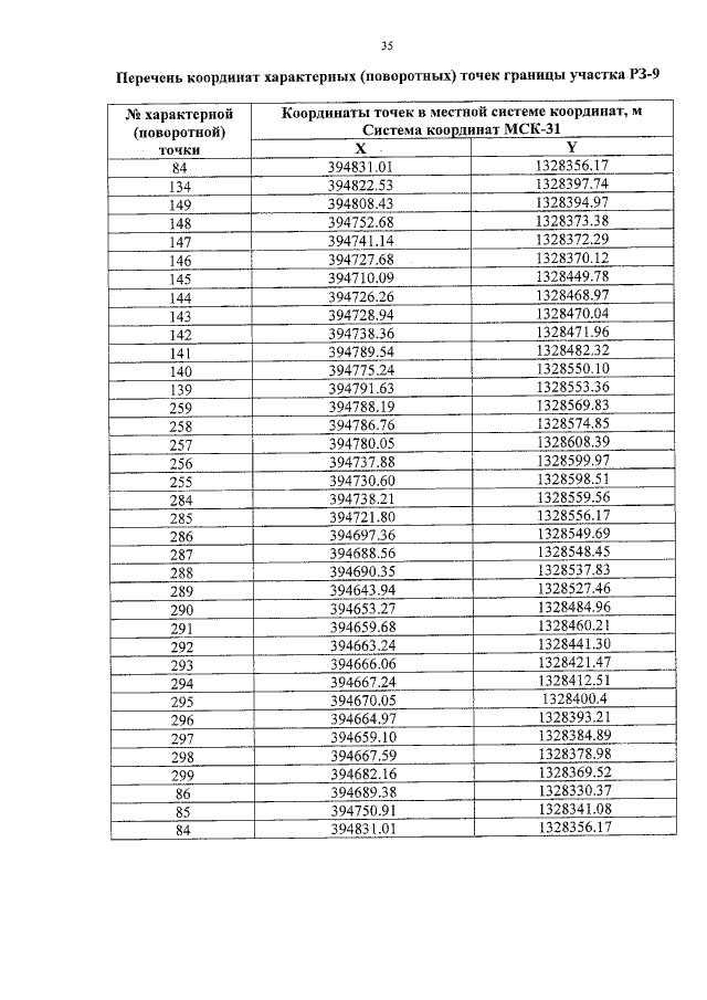
Приказ Управления государственной охраны объектов культурного наследия
Белгородской области
от 23.03.2023 № 30-24/100
"Об утверждении границ территории и требований к осуществлению деятельности и градостроительным регламентам в границах территории объекта культурного наследия регионального значения – достопримечательного места "Старый Белгород" ,расположенного: Белгородская область, г. Белгород, в границах улиц Пушкина, Победы, Князя Трубецкого, проспекта Славы"
(Зарегистрирован 24.03.2023 № 157)
Номер опубликования: 3101202303240001
Дата опубликования: 24.03.2023
Страница №35 из 41:
Увеличить