Официальное опубликование правовых актов
ОФИЦИАЛЬНОЕ ОПУБЛИКОВАНИЕ
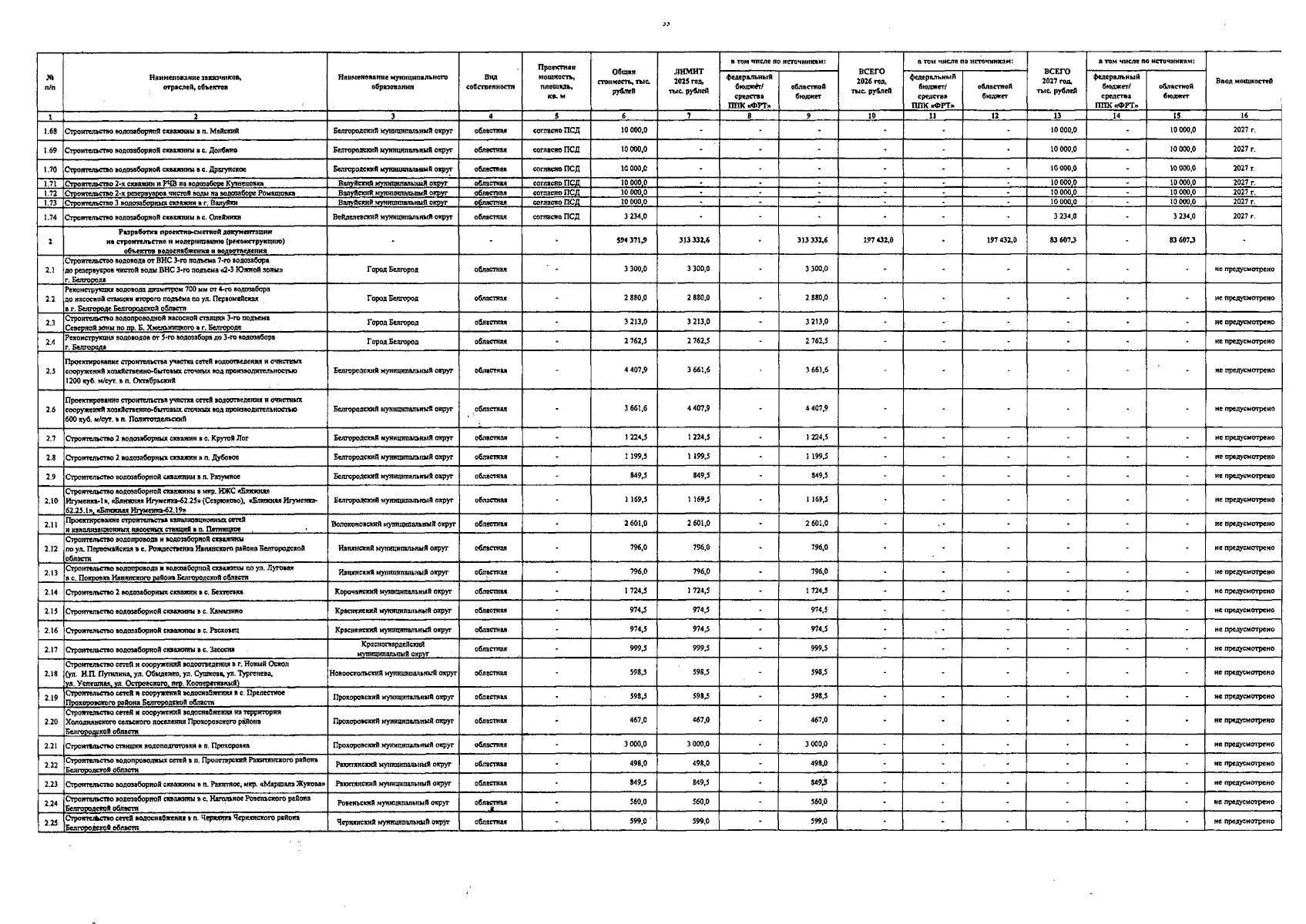
Постановление Правительства Белгородской области от 16.02.2026 № 51-пп
"О внесении изменений в постановление Правительства Белгородской области от 28 декабря 2023 года № 814-пп"
Номер опубликования: 3100202602170002
Дата опубликования: 17.02.2026
Страница №33 из 42:
Увеличить