Официальное опубликование правовых актов
ОФИЦИАЛЬНОЕ ОПУБЛИКОВАНИЕ
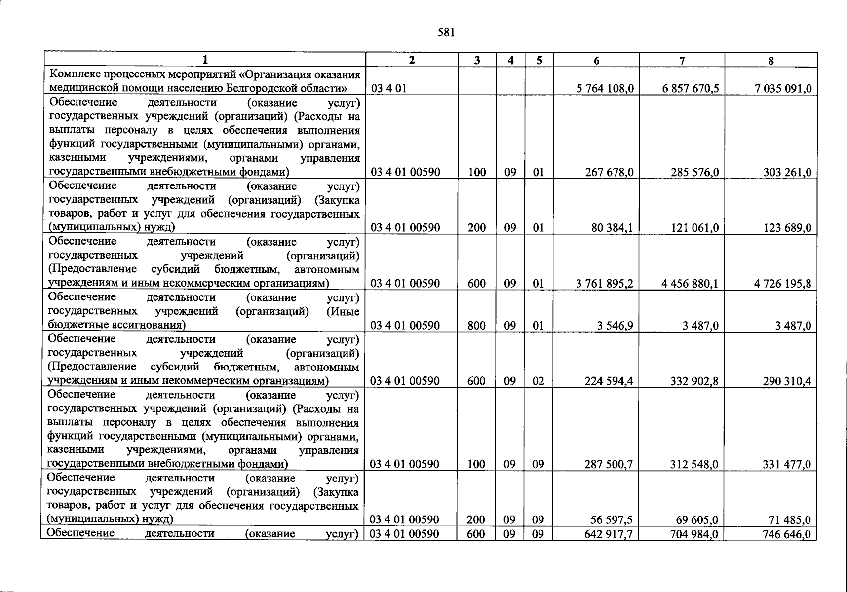
Закон Белгородской области от 24.12.2025 № 19
"О внесении изменений в закон Белгородской области "Об областном бюджете на 2025 год и на плановый период 2026 и 2027 годов"
Номер опубликования: 3100202512290008
Дата опубликования: 29.12.2025
Страница №581 из 742:
Увеличить