Официальное опубликование правовых актов
ОФИЦИАЛЬНОЕ ОПУБЛИКОВАНИЕ
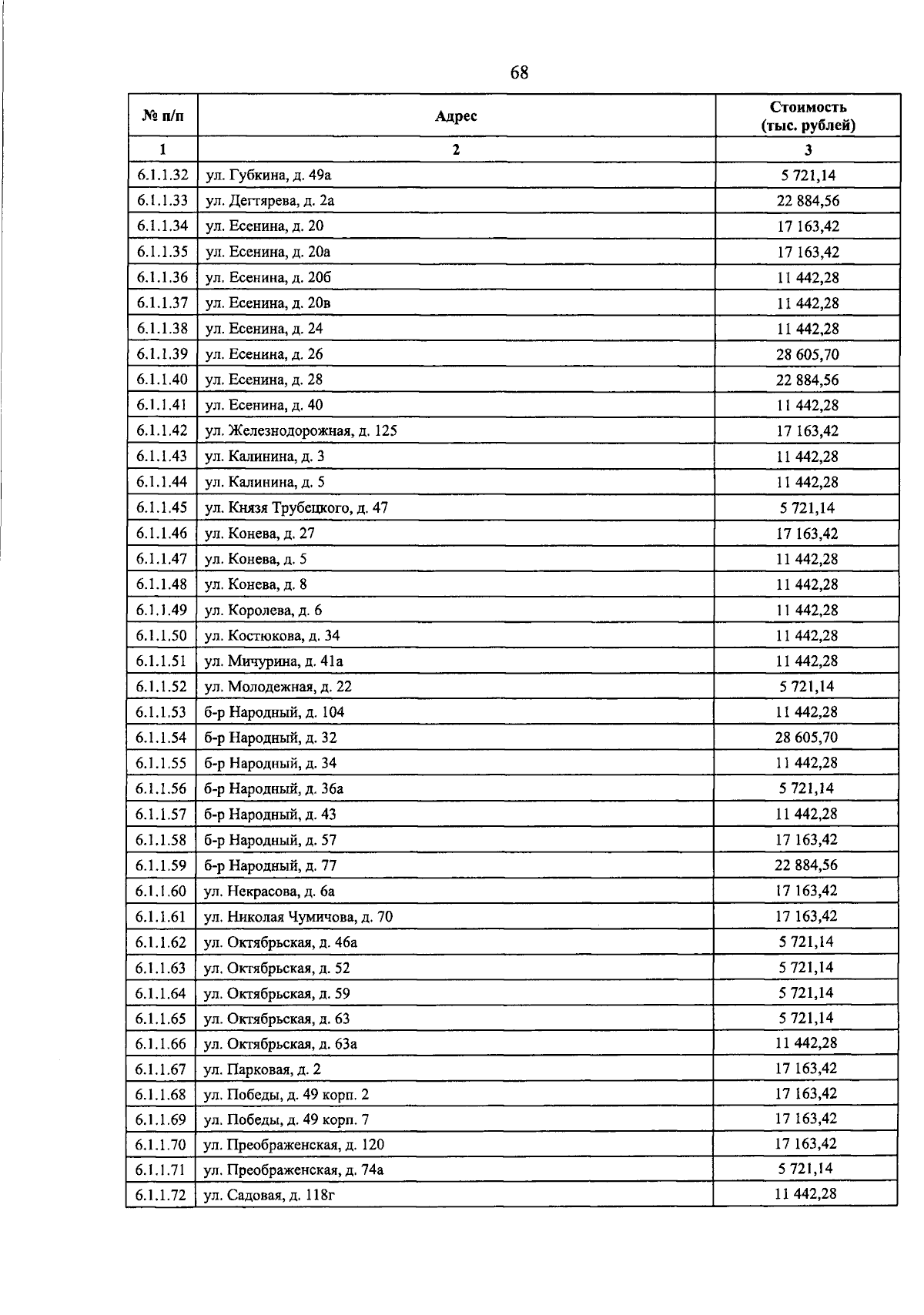
Постановление Правительства Белгородской области от 15.12.2025 № 617-пп
"О внесении изменений в постановление Правительства Белгородской области от 28 декабря 2023 года № 818-пп"
Номер опубликования: 3100202512190002
Дата опубликования: 19.12.2025
Страница №68 из 72:
Увеличить