Официальное опубликование правовых актов
ОФИЦИАЛЬНОЕ ОПУБЛИКОВАНИЕ
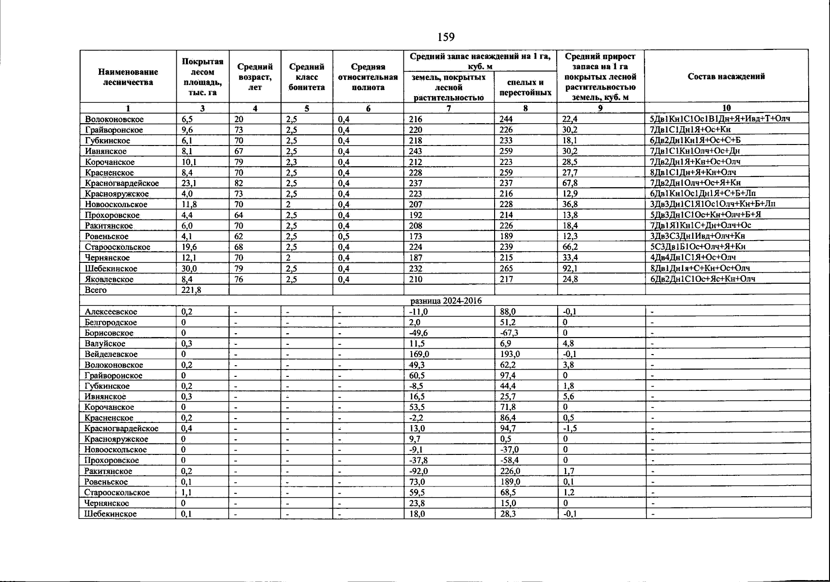
Постановление Губернатора Белгородской области от 15.12.2025 № 201
"Об утверждении лесного плана Белгородской области"
Номер опубликования: 3100202512170011
Дата опубликования: 17.12.2025
Страница №159 из 198:
Увеличить