Официальное опубликование правовых актов
ОФИЦИАЛЬНОЕ ОПУБЛИКОВАНИЕ
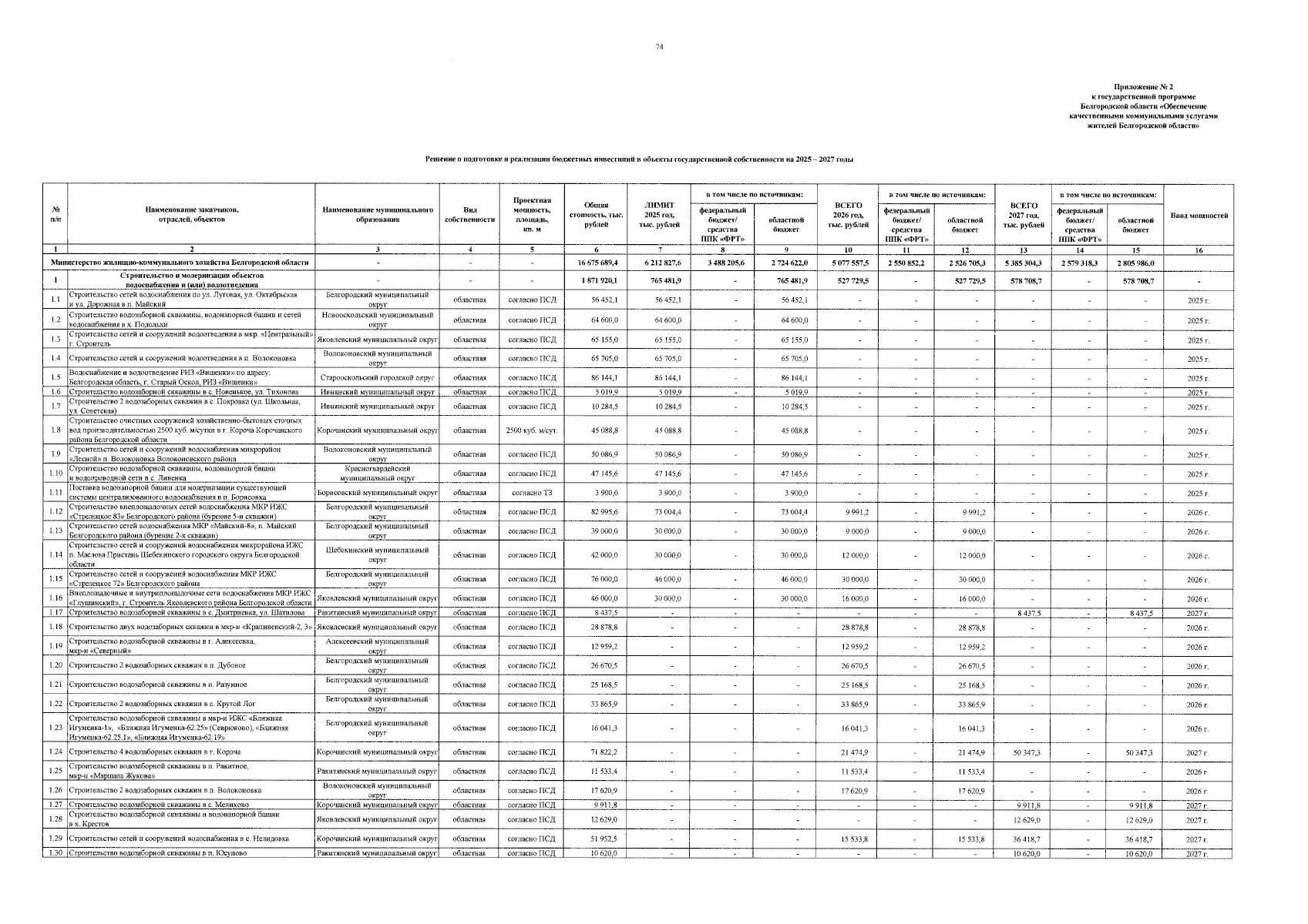
Постановление Правительства Белгородской области от 01.12.2025 № 573-пп
"О внесении изменений в постановление Правительства Белгородской области от 28 декабря 2023 года № 814-пп"
Номер опубликования: 3100202512020019
Дата опубликования: 02.12.2025
Страница №74 из 83:
Увеличить