Официальное опубликование правовых актов
ОФИЦИАЛЬНОЕ ОПУБЛИКОВАНИЕ
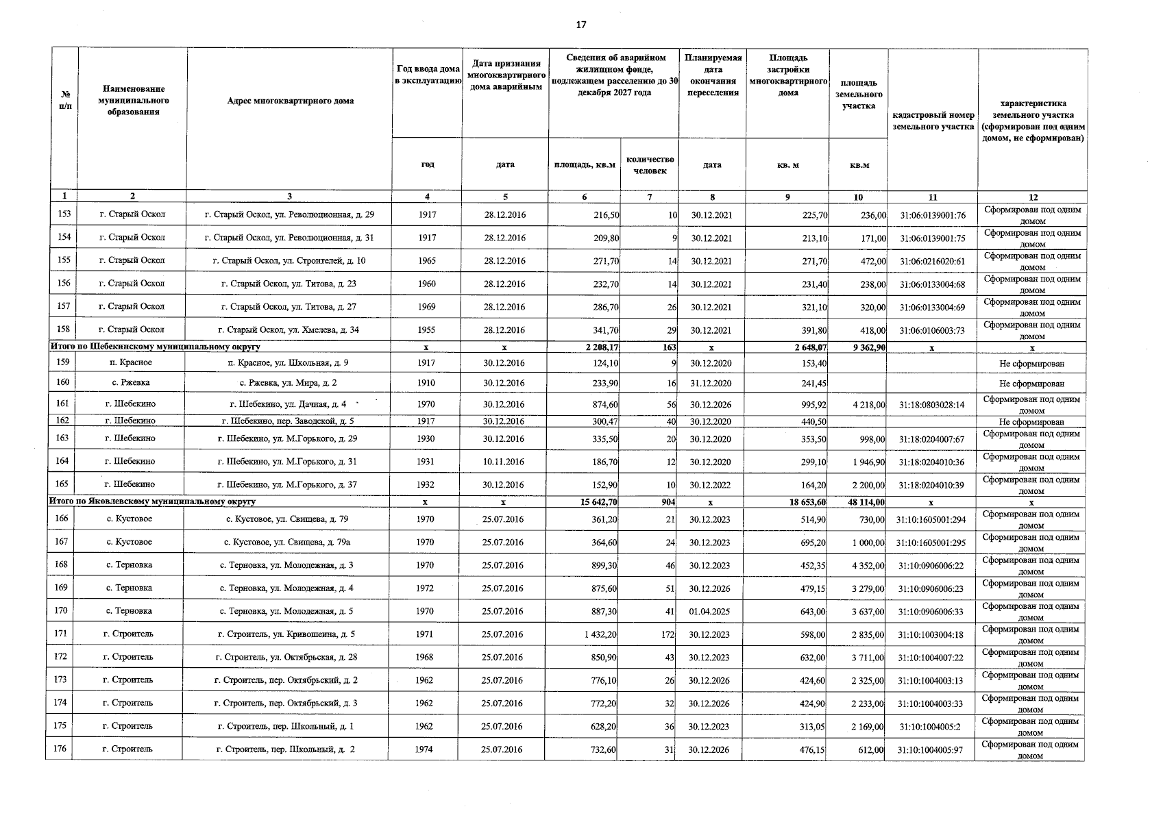
Постановление Правительства Белгородской области от 27.10.2025 № 506-пп
"О внесении изменений в постановление Правительства Белгородской области от 18 марта 2019 года № 114-пп"
Номер опубликования: 3100202511010001
Дата опубликования: 01.11.2025
Страница №17 из 22:
Увеличить