Официальное опубликование правовых актов
ОФИЦИАЛЬНОЕ ОПУБЛИКОВАНИЕ
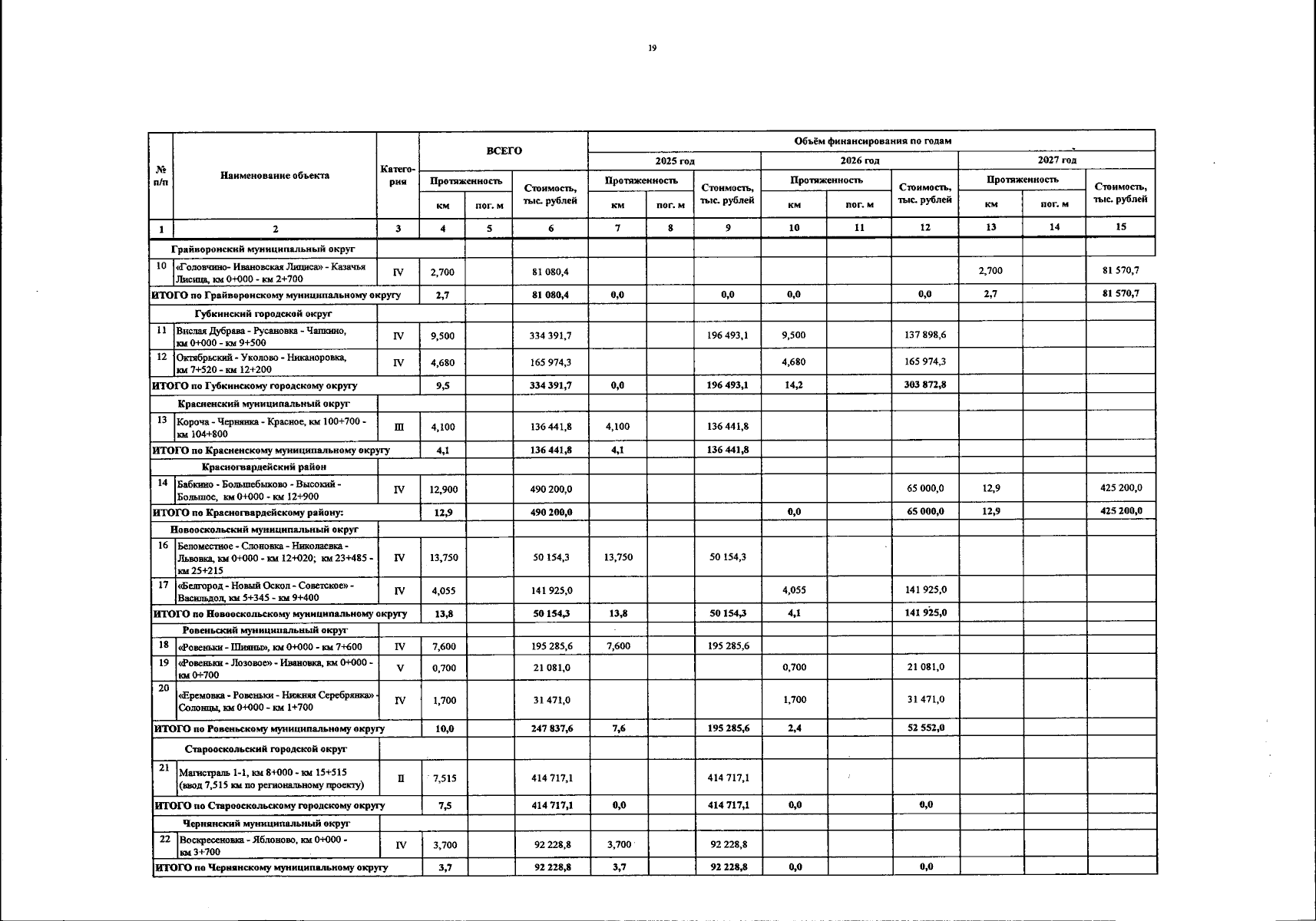
Постановление Правительства Белгородской области от 20.10.2025 № 481-пп
"О внесении изменений в постановление Правительства Белгородской области от 18 декабря 2023 года № 730-пп"
Номер опубликования: 3100202510210004
Дата опубликования: 21.10.2025
Страница №19 из 24:
Увеличить