Официальное опубликование правовых актов
ОФИЦИАЛЬНОЕ ОПУБЛИКОВАНИЕ
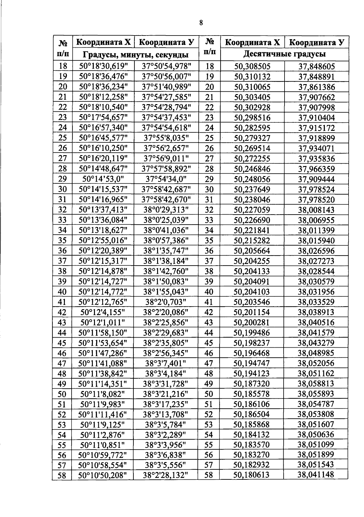
Постановление Губернатора Белгородской области от 27.08.2025 № 135
"О внесении изменений в постановление Губернатора Белгородской области от 11 июля 2023 года № 97"
Номер опубликования: 3100202508270008
Дата опубликования: 27.08.2025
Страница №8 из 21:
Увеличить