Официальное опубликование правовых актов
ОФИЦИАЛЬНОЕ ОПУБЛИКОВАНИЕ
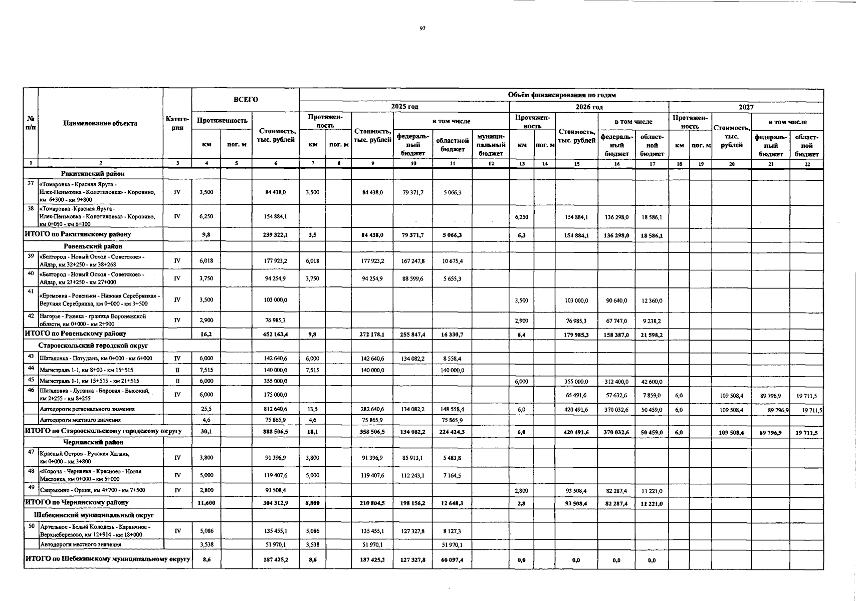
Постановление Правительства Белгородской области от 28.07.2025 № 380-пп
"О внесении изменений в постановление Правительства Белгородской области от 18 декабря 2023 года № 730-пп"
Номер опубликования: 3100202508060006
Дата опубликования: 06.08.2025
Страница №97 из 119:
Увеличить