Официальное опубликование правовых актов
ОФИЦИАЛЬНОЕ ОПУБЛИКОВАНИЕ
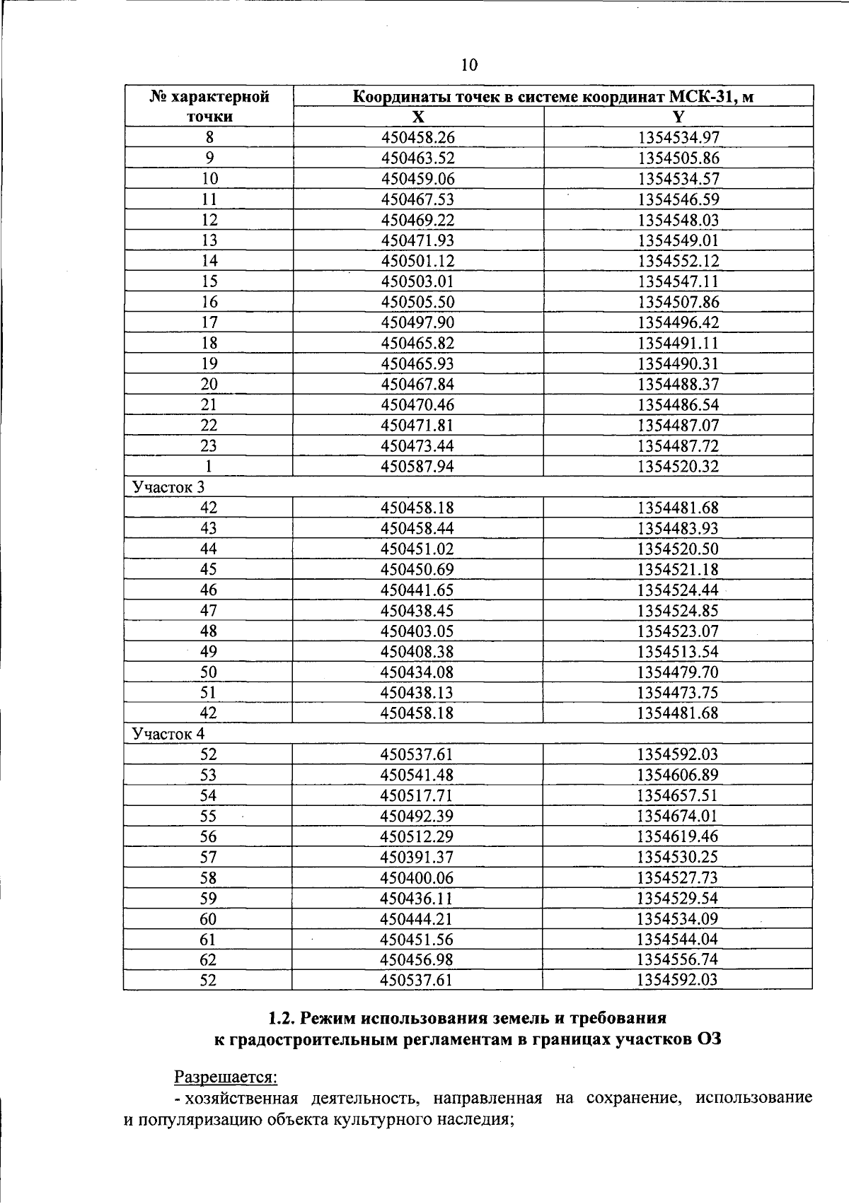
Постановление Правительства Белгородской области от 28.07.2025 № 369-пп
"Об утверждении границ зон охраны, режимов использования земель и требований к градостроительным регламентам в границах зон охраны объектов культурного наследия (памятников истории и культуры), расположенных на территории Прохоровского муниципального округа Белгородской области"
Номер опубликования: 3100202508040002
Дата опубликования: 04.08.2025
Страница №10 из 37:
Увеличить