Официальное опубликование правовых актов
ОФИЦИАЛЬНОЕ ОПУБЛИКОВАНИЕ
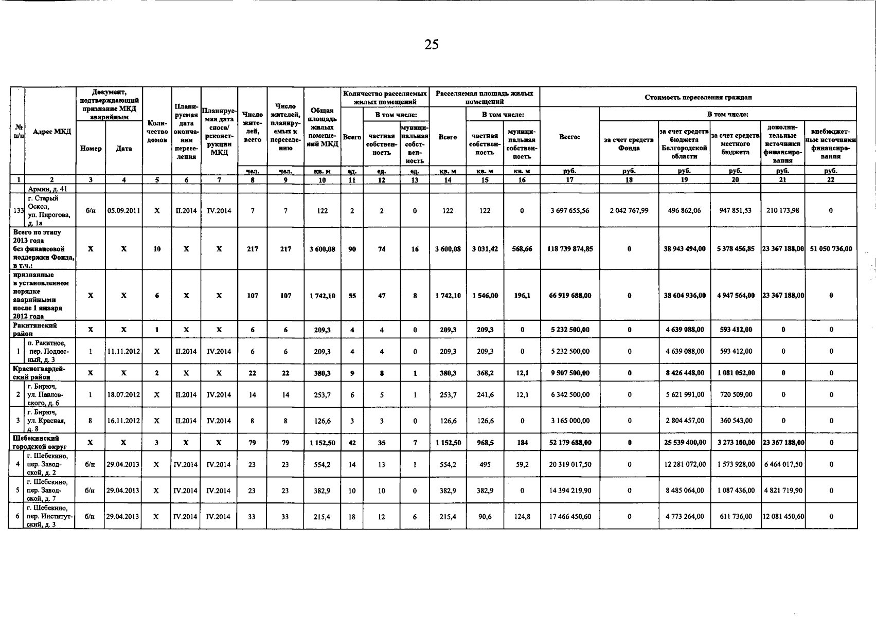
Постановление Правительства Белгородской области от 28.07.2025 № 374-пп
"О внесении изменений в постановление Правительства Белгородской области от 17 июня 2013 года № 248-пп"
Номер опубликования: 3100202508010002
Дата опубликования: 01.08.2025
Страница №25 из 81:
Увеличить