Официальное опубликование правовых актов
ОФИЦИАЛЬНОЕ ОПУБЛИКОВАНИЕ
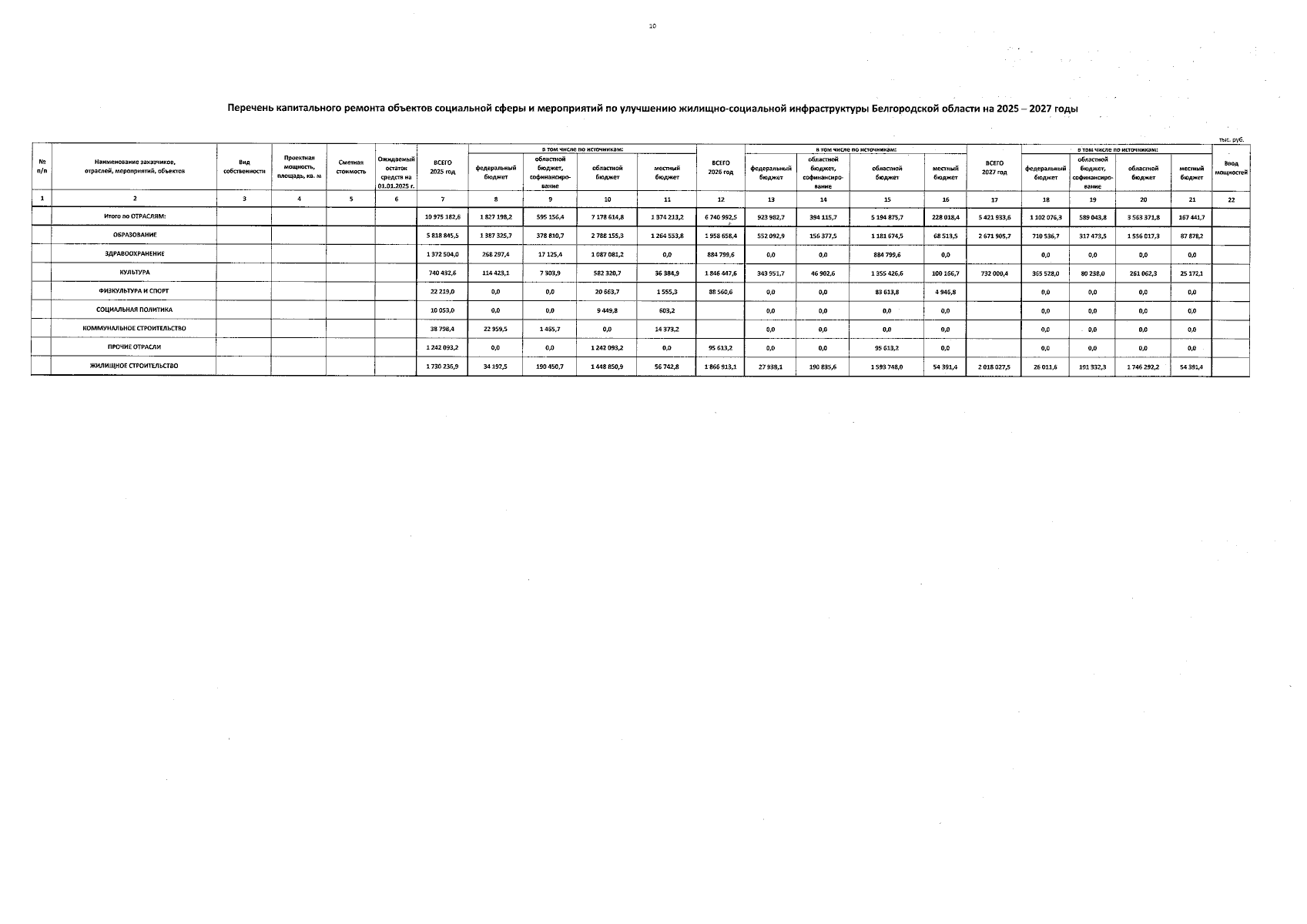
Постановление Правительства Белгородской области от 16.06.2025 № 299-пп
"О внесении изменений в постановление Правительства Белгородской области от 28 декабря 2024 года № 695-пп"
Номер опубликования: 3100202506190001
Дата опубликования: 19.06.2025
Страница №10 из 58:
Увеличить