Официальное опубликование правовых актов
ОФИЦИАЛЬНОЕ ОПУБЛИКОВАНИЕ
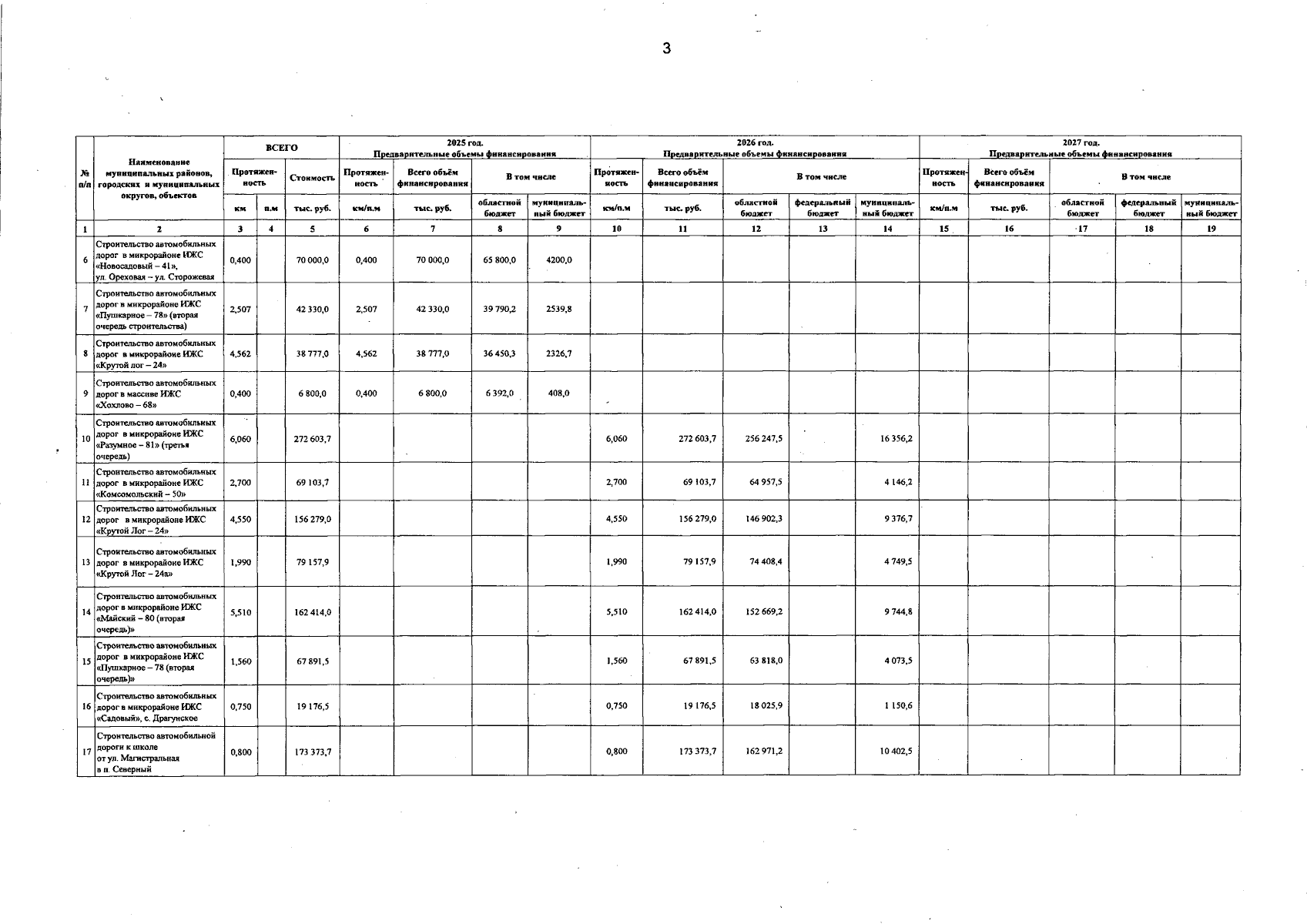
Постановление Правительства Белгородской области от 24.03.2025 № 141-пп
"О внесении изменений в постановление Правительства Белгородской области от 28 декабря 2024 года № 696-пп"
Номер опубликования: 3100202503260004
Дата опубликования: 26.03.2025
Страница №3 из 5:
Увеличить