Официальное опубликование правовых актов
ОФИЦИАЛЬНОЕ ОПУБЛИКОВАНИЕ
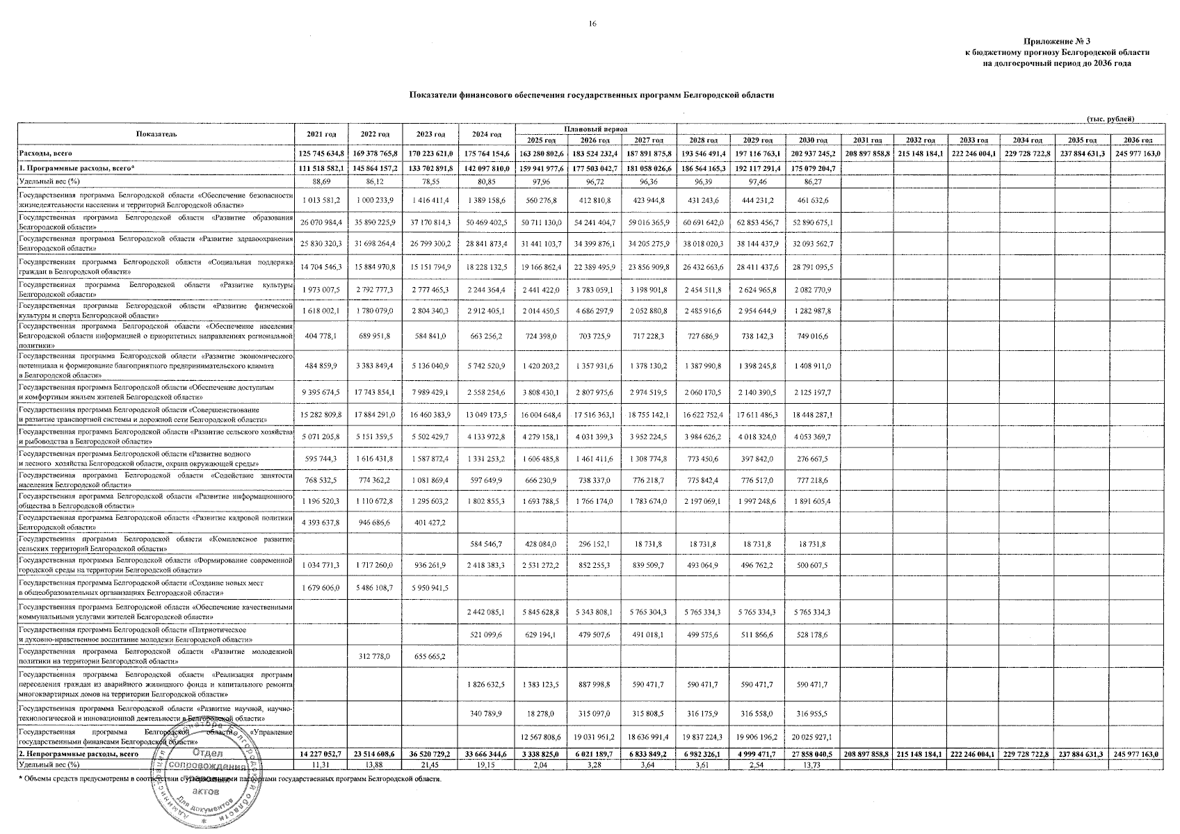
Постановление Правительства Белгородской области от 17.02.2025 № 68-пп
"О внесении изменений в постановление Правительства Белгородской области от 13 февраля 2023 года № 76-пп"
Номер опубликования: 3100202502250020
Дата опубликования: 25.02.2025
Страница №16 из 16:
Увеличить