Официальное опубликование правовых актов
ОФИЦИАЛЬНОЕ ОПУБЛИКОВАНИЕ
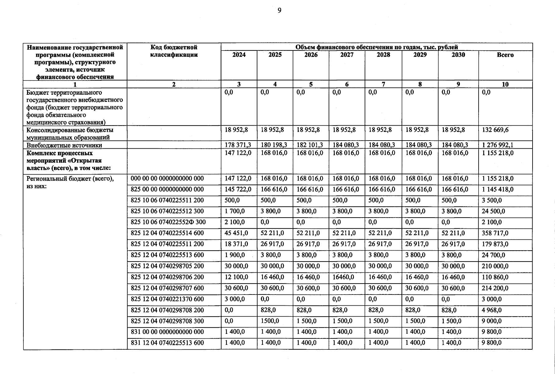
Постановление Правительства Белгородской области от 27.01.2025 № 23-пп
"О внесении изменений в постановление Правительства Белгородской области от 18 декабря 2023 года № 724-пп"
Номер опубликования: 3100202501290005
Дата опубликования: 29.01.2025
Страница №9 из 100:
Увеличить