Официальное опубликование правовых актов
ОФИЦИАЛЬНОЕ ОПУБЛИКОВАНИЕ
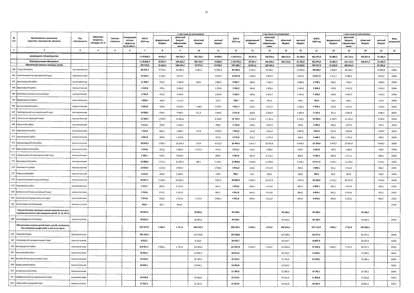
Постановление Правительства Белгородской области от 23.12.2024 № 658-пп
"О внесении изменений в постановление Правительства Белгородской области от 25 декабря 2023 года № 790-пп"
Номер опубликования: 3100202412280020
Дата опубликования: 28.12.2024
Страница №30 из 51:
Увеличить