Официальное опубликование правовых актов
ОФИЦИАЛЬНОЕ ОПУБЛИКОВАНИЕ
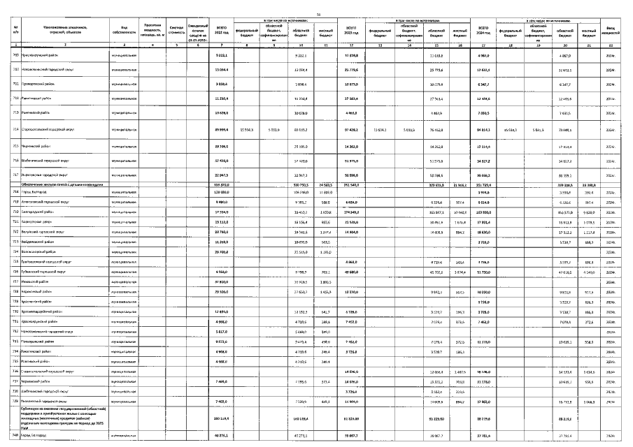
Постановление Правительства Белгородской области от 13.12.2021 № 605-пп
"Об утверждении пообъектного перечня строительства, реконструкции и капитального ремонта объектов социальной сферыи развития жилищно-коммунальной инфраструктуры Белгородской области на 2022 – 2024 годы"
Номер опубликования: 3100202112210022
Дата опубликования: 21.12.2021
Страница №38 из 42:
Увеличить