Официальное опубликование правовых актов
ОФИЦИАЛЬНОЕ ОПУБЛИКОВАНИЕ
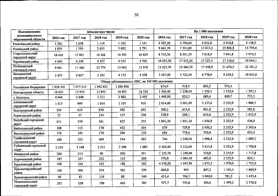
Постановление Правительства Белгородской области от 28.06.2021 № 245-пп
"Об утверждении программы Белгородской области "Борьба с сердечно-сосудистыми заболеваниями в Белгородской области на 2021 – 2024 годы"
Номер опубликования: 3100202107010011
Дата опубликования: 01.07.2021
Страница №50 из 259:
Увеличить