Официальное опубликование правовых актов
ОФИЦИАЛЬНОЕ ОПУБЛИКОВАНИЕ
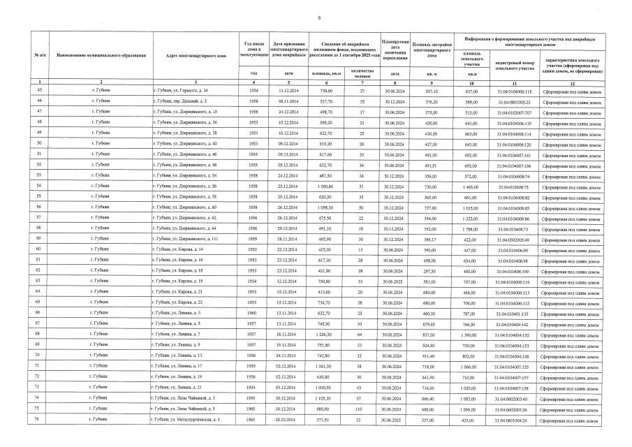
Постановление Правительства Белгородской области от 24.02.2021 № 58-пп
"О внесении изменений в постановление Правительства Белгородской области от 18 марта 2019 года № 114-пп"
Номер опубликования: 3100202102250002
Дата опубликования: 25.02.2021
Страница №9 из 21:
Увеличить