Официальное опубликование правовых актов
ОФИЦИАЛЬНОЕ ОПУБЛИКОВАНИЕ
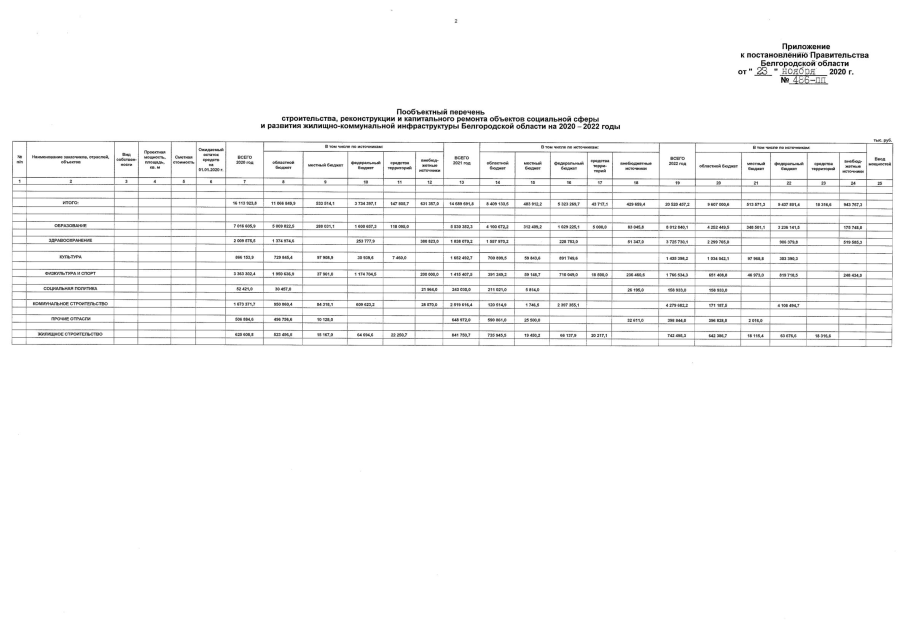
Постановление Правительства Белгородской области от 23.11.2020 № 486-пп
"О внесении изменений в постановление Правительства Белгородской области от 16 декабря 2019 года № 574-пп"
Номер опубликования: 3100202011270002
Дата опубликования: 27.11.2020
Страница №2 из 77:
Увеличить