Официальное опубликование правовых актов
ОФИЦИАЛЬНОЕ ОПУБЛИКОВАНИЕ
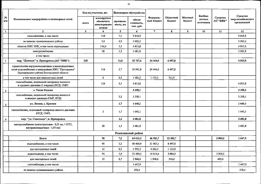
Постановление Правительства Белгородской области от 23.11.2020 № 475-пп
"О внесении изменений в постановление Правительства Белгородской области от 16 марта 2020 года № 89-пп"
Номер опубликования: 3100202011260008
Дата опубликования: 26.11.2020
Страница №21 из 25:
Увеличить