Официальное опубликование правовых актов
ОФИЦИАЛЬНОЕ ОПУБЛИКОВАНИЕ
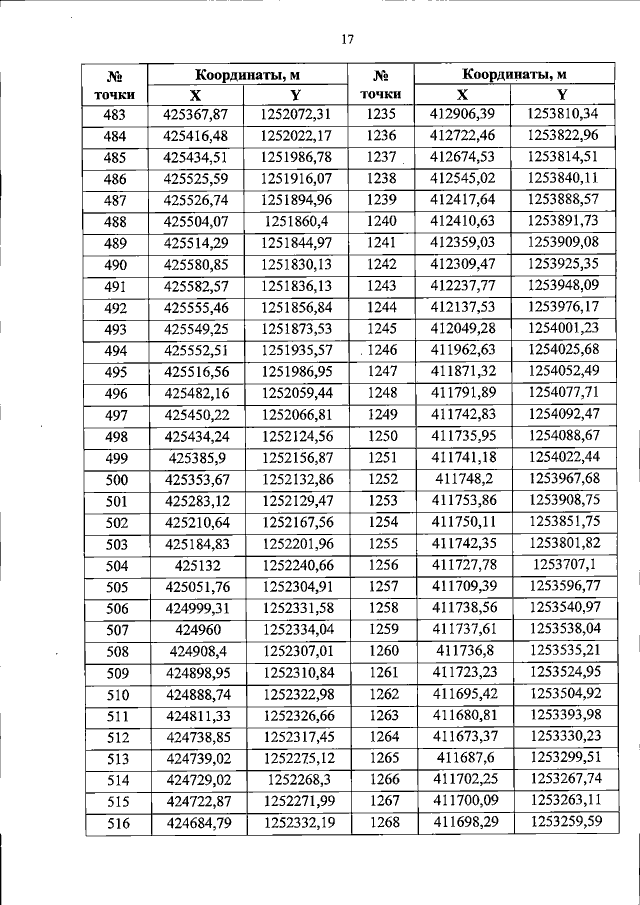
Постановление Правительства Белгородской области от 07.09.2020 № 417-пп
"О внесении изменений в постановление Правительства Белгородской области от 11 января 2010 года № 1-пп"
Номер опубликования: 3100202009080009
Дата опубликования: 08.09.2020
Страница №17 из 25:
Увеличить