Официальное опубликование правовых актов
ОФИЦИАЛЬНОЕ ОПУБЛИКОВАНИЕ
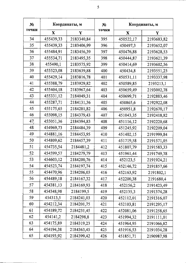
Постановление Правительства Белгородской области от 18.05.2020 № 196-пп
"О внесении изменений в постановление Правительства Белгородской области от 11 января 2010 года № 1-пп"
Номер опубликования: 3100202005250001
Дата опубликования: 25.05.2020
Страница №5 из 18:
Увеличить